产品展示
| 海藻酸钙 | |
| 产品名称 | 海藻酸钙 |
| 中文别名 | 藻酸钙;烃氧基钠;褐藻酸鈉;褐藻酸钙;海藻酸钙盐 |
| 英文名称 | sodiumalginate |
| 分 子 式 | C18H24CaO19 |
| 分 子 量 | 1170.93 |
| CAS No. | 9005-35-0 |
| 产品图片 | ![]() |
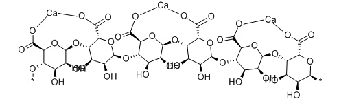
| 结构式 | ![]() |
| 理化性质 | 几乎无臭无味。不溶于水、有机溶剂。难溶于乙醇。缓慢溶于聚磷酸钠、碳酸钠溶液及钙化合物的溶液。密度:2.1173g/cm3 |
| 外观 | 白色至浅黄棕色纤维状粉末或粗粉 |
| 熔点 | |
| 含量 | >99% |
| 水份 | |
| 包装 | 25kg |
其他说明 |
用途:可用于食品加工、制药 |





