产品展示
| 双(2-羟甲基)氨基-三(羟甲基)甲烷 | |
| 产品名称 | 双(2-羟甲基)氨基-三(羟甲基)甲烷 |
| 中文别名 | 2,2-双(羟基甲基)-2,2',2''-次氮基三乙醇 |
| 英文名称 | Bis-tris |
| 分 子 式 | C8H20NO5 |
| 分 子 量 | 210.2476 |
| CAS No. | 6976-37-0 |
| 产品图片 | |
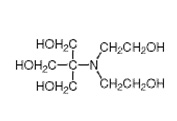
| 结构式 | ![]() |
| 理化性质 | 熔点:103-104℃ 沸点:466.2℃ at 760 mmHg 闪点:288℃ 蒸气压:1.19E-10mmHg at 25℃ 溶解性:soluble |
| 外观 | 白色结晶 |
| 熔点 | 103-104℃ |
| 含量 | ≥99.0% |
| 水份 | ≤1.0% |
| 包装 | 1KG 5KG 25KG |
其他说明 |
在生物实验中,它是重要的PH稳定试剂,通常选择适当的弱酸和其共轭碱混合以得到适合的PH值。大多数生物反应在中性条件下发生,一般PH选在6-8之间,并且要求缓冲剂有效缓冲范围也在6-8之间。另外要求缓冲剂的酸碱形式不与某些金属离子发生螯合作用.还用于检测肌酸肌酶,在冷冻干燥中有效保护血红蛋白;阴极电解液,用在IEF/2-D凝胶电泳. |




